Comprender la diferencia entre la velocidad de corte y la velocidad del husillo es crucial para lograr un mecanizado estable, un buen acabado superficial y una mayor vida útil de la herramienta. Muchos maquinistas confunden estos dos conceptos, pero son distintos. La velocidad de corte describe la rapidez con la que el filo se mueve sobre el material, mientras que la velocidad del husillo (RPM) se refiere a la velocidad de rotación de la herramienta.
En el fresado y torneado CNC, elegir la velocidad de corte y la velocidad del husillo adecuadas puede reducir el calor, prevenir el desgaste de la herramienta y mejorar la eficiencia del mecanizado. Esta guía explica la diferencia entre la velocidad de corte y la velocidad del husillo, cómo calcularlas y cómo funcionan juntas para diferentes materiales como acero, acero inoxidable y aluminio.
La velocidad de corte se refiere a la velocidad lineal a la que el filo de la herramienta se desplaza sobre la superficie de la pieza. Generalmente se mide en metros por minuto (m/min) o pies superficiales por minuto (SFM). A diferencia de la velocidad del husillo, que describe la velocidad de rotación de la herramienta, la velocidad de corte se centra en la velocidad de contacto real entre la herramienta y el material.
Seleccionar la velocidad de corte correcta es crucial, ya que afecta directamente la vida útil de la herramienta, la generación de calor, la formación de viruta y la estabilidad general del mecanizado. Las velocidades de corte más altas generan más calor y pueden reducir la vida útil de la herramienta, mientras que las velocidades demasiado bajas pueden provocar una evacuación deficiente de la viruta y un recrecimiento del filo.
La velocidad de corte también varía según el material a mecanizar. Por ejemplo, el aluminio permite velocidades de corte muy altas, mientras que el acero inoxidable requiere velocidades significativamente menores debido a su dureza y sensibilidad al calor. Las herramientas modernas de carburo generalmente admiten velocidades de corte más altas que las herramientas de acero de alta velocidad (HSS).
En el mecanizado CNC, la velocidad de corte sirve como base para calcular la velocidad del husillo (RPM) y garantizar operaciones de fresado, torneado y taladrado eficientes.

La velocidad del husillo se refiere a la velocidad de rotación de la herramienta o pieza de trabajo, medida en revoluciones por minuto (RPM). Indica cuántas veces gira la herramienta en un minuto. Mientras que la velocidad de corte se centra en el movimiento lineal de la herramienta sobre el material, la velocidad del husillo describe la rotación de la herramienta en sí.
La velocidad del husillo se ve directamente afectada por el diámetro de la herramienta. Las herramientas más pequeñas requieren mayores RPM para alcanzar la misma velocidad de corte, mientras que las más grandes requieren menores RPM para evitar el calor y la vibración excesivos. Por ello, al cambiar el tamaño de la herramienta siempre es necesario recalcular la velocidad del husillo.
Elegir la velocidad correcta del husillo es esencial para evitar vibraciones, roturas de la herramienta, un acabado superficial deficiente y un desgaste excesivo. Un exceso de RPM puede sobrecalentar el filo, mientras que un exceso de RPM puede provocar fricción en lugar de corte.
En el fresado y torneado CNC, la velocidad del husillo se complementa con la velocidad de corte y el avance para garantizar un rendimiento de mecanizado estable. Es un parámetro clave en la programación de trayectorias de herramientas, especialmente al cortar materiales como acero, aluminio y acero inoxidable.

Aunque la velocidad de corte y la velocidad del husillo están relacionadas, describen dos aspectos completamente diferentes del mecanizado:
La velocidad de corte es lineal; la velocidad del husillo es rotacional.
La velocidad de corte mide qué tan rápido se mueve el filo a lo largo de la superficie del material.
La velocidad del husillo mide qué tan rápido gira la herramienta en RPM.
La velocidad de corte se mantiene constante; la velocidad del husillo cambia con el diámetro de la herramienta.
Los maquinistas eligen una velocidad de corte en función del material (acero, acero inoxidable, aluminio).
La velocidad del husillo debe calcularse de acuerdo con el diámetro de la herramienta para que coincida con la velocidad de corte.
La velocidad de corte afecta el calor y el desgaste de la herramienta.
La alta velocidad de corte aumenta el calor y reduce la vida útil de la herramienta.
Una velocidad de corte baja puede provocar rozamientos y una mala formación de virutas.
La velocidad del husillo afecta la estabilidad y el acabado de la superficie.
Demasiadas RPM pueden provocar vibraciones o traqueteos.
Muy pocas RPM dan lugar a superficies rugosas y a un corte ineficiente.
La velocidad de corte determina las RPM.
La velocidad de corte es el punto de partida.
La velocidad del husillo (RPM) se calcula a partir de la fórmula de velocidad de corte.
Comprender estas diferencias ayuda a garantizar un mejor rendimiento del mecanizado, una mayor vida útil de la herramienta y una programación más precisa en las operaciones CNC.
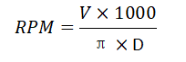
El cálculo preciso de la velocidad de corte y la velocidad del husillo es esencial para un mecanizado CNC eficiente y seguro. Así funciona:
La velocidad de corte (V) generalmente se mide en metros por minuto (m/min) o pies superficiales por minuto (SFM).
La fórmula para calcular la velocidad de corte es:

V = velocidad de corte
D = diámetro de la herramienta
RPM = velocidad del husillo
Esto demuestra que la velocidad de corte depende tanto de la velocidad del husillo como del diámetro de la herramienta.
Si conoce la velocidad de corte deseada, se puede calcular la velocidad del husillo:
Ajuste D para que coincida con el diámetro de la herramienta en milímetros.
Para pulgadas, convierta SFM a la unidad adecuada.
Fresa de diámetro pequeño: se requieren altas RPM para alcanzar la velocidad de corte recomendada.
Fresa de gran diámetro: se necesitan menos RPM para mantener la misma velocidad de corte.
El aluminio permite mayores velocidades de corte; el acero inoxidable requiere velocidades más bajas para evitar el sobrecalentamiento.
Consulte siempre las recomendaciones del fabricante de la herramienta en cuanto a la velocidad de corte.
Utilice software CAM o calculadoras para garantizar las RPM correctas.
Combine la velocidad correcta del husillo con la velocidad de avance apropiada para un mecanizado óptimo.
Al comprender estas fórmulas, puede establecer la velocidad de corte y la velocidad del husillo correctas para maximizar la vida útil de la herramienta, reducir el calor y lograr un mejor acabado de la superficie.
El diámetro de la herramienta es crucial para determinar la velocidad del husillo a una velocidad de corte determinada. Comprender esta relación ayuda a prevenir daños en la herramienta y garantiza un rendimiento de mecanizado constante.
Las herramientas de diámetro pequeño deben girar más rápido para mantener la misma velocidad de corte.
Ejemplo: una fresa de 10 mm requiere RPM mucho mayores que una fresa de 50 mm a la misma velocidad de corte.
Las RPM altas para herramientas pequeñas aumentan el riesgo de vibración, por lo que es importante equilibrar la velocidad del husillo y la velocidad de avance.
Las herramientas de gran diámetro cubren más superficie por revolución.
Las RPM más bajas evitan el calor excesivo y reducen el desgaste de la herramienta.
El uso de RPM incorrectas para herramientas grandes puede provocar un acabado superficial deficiente o la rotura de la herramienta.
Fresas de extremoTanto los taladros como las herramientas de mandrinado requieren ajustes específicos de la velocidad del husillo.
Siempre recálculo las RPM cuando cambie el tamaño de la herramienta.
Utilice software CAM o calculadoras de husillo para garantizar la precisión.
Una velocidad de corte y una velocidad de husillo adecuadas son fundamentales para la longevidad de la herramienta y la eficiencia del mecanizado. Un ajuste incorrecto puede provocar rápidamente daños en la herramienta o piezas de mala calidad.
Demasiado alto: genera calor excesivo, lo que provoca un rápido desgaste de la herramienta o astillamiento del borde.
Demasiado bajo: produce fricción en lugar de corte, lo que crea un borde acumulado (BUE) y un acabado superficial deficiente.
La velocidad de corte óptima equilibra la generación de calor, la formación de viruta y la vida útil de la herramienta.
RPM demasiado altas: pueden provocar vibraciones, vibraciones y fallas prematuras de la herramienta.
RPM demasiado bajas: reduce la eficiencia de corte y puede dañar la superficie del material.
Las RPM adecuadas garantizan un corte estable y acabados superficiales precisos.
La velocidad de corte y la velocidad del husillo trabajan juntas: la velocidad de corte establece el objetivo y la velocidad del husillo se ajusta según el diámetro de la herramienta.
La combinación correcta reduce el desgaste, mejora el acabado de la superficie y maximiza la tasa de remoción de material (MRR).
El acero y el acero inoxidable requieren velocidades de corte más bajas para evitar el sobrecalentamiento.
El aluminio y otros metales más blandos permiten velocidades más altas y mayores RPM.
Las herramientas de carburo admiten velocidades de corte más altas en comparación con las herramientas HSS.
Diferentes materiales requieren distintas velocidades de corte y de husillo para lograr un rendimiento de mecanizado óptimo. Seleccionar los parámetros correctos garantiza una mayor vida útil de la herramienta, un mejor acabado superficial y una mayor eficiencia.
Acero
Velocidad de corte: 50–120 m/min (dependiendo de la dureza y la aleación).
Utilice unas RPM moderadas en función del diámetro de la herramienta.
Las velocidades más bajas ayudan a prevenir la acumulación de calor y el desgaste de la herramienta.

Acero inoxidable
Velocidad de corte: 30–80 m/min (los materiales más duros requieren un corte más lento).
Se debe reducir la velocidad del husillo para evitar vibraciones y astillas en los bordes.
Es muy recomendable utilizar refrigerante para controlar la temperatura.
Aluminio
Velocidad de corte: 200–600 m/min (metal blando, fácil de mecanizar).
Las altas velocidades del husillo permiten una eliminación eficiente del material.
Ajuste la velocidad de alimentación para evitar vibraciones con herramientas de diámetro pequeño.
Latón, cobre, plásticos
Latón: velocidades de corte moderadas, flujo de viruta suave.
Cobre: menor velocidad para evitar el endurecimiento del trabajo.
Plásticos: alta velocidad, bajo avance y cuidadosa evacuación de viruta.
Consideraciones sobre el material de las herramientas
Acero de alta velocidad (HSS): velocidades de corte más bajas, mayor tiempo de contacto.
Herramientas de carburo: admiten velocidades más altas y mayores RPM para un mecanizado más rápido.
Siga siempre las velocidades recomendadas por el fabricante para el tipo de herramienta.
Los errores comunes al ajustar la velocidad de corte y la velocidad del husillo suelen deberse a que todos los materiales se tratan por igual. Cada material requiere su propia velocidad de corte recomendada, por lo que usar un valor universal provoca un rápido desgaste de la herramienta y un acabado superficial deficiente. Otro error frecuente es ignorar el diámetro de la herramienta: las herramientas pequeñas deben funcionar a mayores RPM, mientras que las más grandes requieren menores. Muchos operadores también ajustan la velocidad del husillo demasiado alta, lo que provoca calor, quemaduras y virutas, mientras que unas RPM demasiado bajas provocan rozamiento en lugar de corte. Elegir una velocidad de corte que no se ajuste al material de la herramienta también es un problema común, ya que el acero rápido (HSS) y el carburo requieren parámetros diferentes. Finalmente, la falta de refrigerante, especialmente al mecanizar acero inoxidable o aleaciones de alta temperatura, aumenta el calor y acorta significativamente la vida útil de la herramienta.
1. ¿Cuál es la diferencia entre la velocidad de corte y la velocidad del husillo?
La velocidad de corte se refiere a la rapidez con la que el filo se desplaza sobre la superficie del material (medida en m/min o pies/min). La velocidad del husillo es la velocidad de rotación del husillo en RPM. La velocidad de corte determina las RPM correctas en función del diámetro de la herramienta.
2. ¿Por qué es importante la velocidad de corte en el mecanizado CNC?
Porque controla el calor, la formación de viruta y el desgaste de la herramienta. La velocidad de corte correcta mejora la vida útil de la herramienta, el acabado superficial y la eficiencia general del mecanizado.
3. ¿Puedo utilizar la misma velocidad de corte para herramientas de carburo y HSS?
No. Las herramientas de carburo pueden funcionar a velocidades mucho más altas porque toleran mejor el calor. Las herramientas HSS necesitan velocidades más bajas para evitar quemaduras.
4. ¿Qué sucede si la velocidad de mi husillo es demasiado alta?
Es posible que observe sobrecalentamiento, piezas azules, quemaduras en la herramienta o fallas prematuras de la misma.
5. ¿Qué sucede si la velocidad de mi husillo es demasiado baja?
La herramienta frota en lugar de cortar, lo que provoca un acabado superficial deficiente, calor excesivo y un mecanizado ineficiente.
6. ¿El refrigerante y la lubricación afectan la velocidad recomendada?
Sí. Con el refrigerante adecuado, a menudo se pueden alcanzar velocidades ligeramente más altas y lograr una mejor vida útil de la herramienta, especialmente al cortar acero inoxidable o superaleaciones.
Comprender la diferencia entre la velocidad de corte y la velocidad del husillo es esencial para lograr un mecanizado estable, eficiente y rentable. Al configurar correctamente estos dos parámetros, se obtienen acabados más suaves, una mayor vida útil de la herramienta y una mayor productividad, justo lo que todo taller CNC necesita. Comience siempre con las tablas de velocidad recomendadas, aplique las fórmulas adecuadas y ajuste la velocidad según sus condiciones de corte reales.
Si buscas un servicio confiable Máquinas CNC YANGSEN ofrece centros de mecanizado diseñados para precisión, durabilidad y aplicaciones industriales exigentes que ofrecen un rendimiento constante con un control preciso de la velocidad. Contacte con nuestro equipo en cualquier momento para obtener asistencia técnica o un presupuesto adaptado a sus necesidades de mecanizado.